

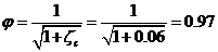
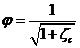
由此得
則

即

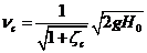
由此得管嘴出流的流速:



| 類 別 | V(m3) | t(s) | V(m/s) | Q(m3/s) | A(m3) | 真空度 | |
|
孔 口 |
圓 形 | ||||||
| 矩 形 | |||||||
| 管 嘴 | 直管嘴 | ||||||
| 錐管嘴 | |||||||
品牌理念
標準流程
有效溝通
專業(yè)管理
優(yōu)秀團隊
品質保證
無憂售后
生產基地:上海松江葉榭工業(yè)園
業(yè)務電話:021-56311657 , 56411696 , 業(yè)務傳真:021-56411696 公司郵箱:shanghaimaoyu@126.com 教學設備廠 滬公網(wǎng)安備 31010702001294 號 滬ICP備13020377號-1 |