
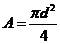
-流體的運動粘度(m 2/s) 
,就可根據流量值計算出流體的流速,進而得出流體在不同流態(tài)時的雷諾數。
| 次數 |
V (m3) |
t (s) |
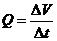
Q (m3/s) |
臨界流速VK (m/s) |
臨界雷諾數 Re |
附 注 |
| 1 |
實驗管內徑 d=0.014m 水溫: ℃ |
|||||
| 2 | ||||||
| 3 | ||||||
| 平均雷諾數Re= | ||||||
品牌理念
標準流程
有效溝通
專業(yè)管理
優(yōu)秀團隊
品質保證
無憂售后
生產基地:上海松江葉榭工業(yè)園
業(yè)務電話:021-56311657 , 56411696 , 業(yè)務傳真:021-56411696 公司郵箱:shanghaimaoyu@126.com 教學設備廠 滬公網安備 31010702001294 號 滬ICP備13020377號-1 |